High-z Disk Galaxies


The James Webb Space Telescope (JWST) has revealed a stunning population of large, well-developed disc galaxies in the early Universe — systems that challenge our standard theoretical picture of how discs form. In this work, we investigate the origin of these extraordinary objects using cosmological simulations, asking: what combination of halo structure, large-scale environment, and assembly history allows a galaxy to build such a massive, bulgeless disc just 2 billion years after the Big Bang?


Formation and Environmental Context of Giant Bulgeless Disk Galaxies in the Early Universe

F. Jiang, Jinning Liang, B. Jin, Z. Gao, W. Wang, S. Cantalupo, X. Shen, L. C. Ho, Y. Peng, J. Wang. 2025, submitted to Nature Astronomy. (co-first authors) [ADS] [arXiv]

Motivation

In the standard theoretical framework of galaxy formation, stable, extended disc galaxies are expected to be rare in the early Universe. High-redshift galaxies typically undergo a phase of concentrated, intense star formation — known as gas-rich compaction — which builds a compact stellar bulge that is considered a prerequisite for disc stabilisation. JWST has overturned this expectation. The discovery of the "Big Wheel" (BW) galaxy — a nearly bulgeless disc at \(z = 3.25\) with a half-light radius of \(\sim 9\) kpc, a stellar mass of \(\sim 2 \times 10^{11}\,M_\odot\), and a size roughly \(3\sigma\) above the size-mass relation — presents a direct challenge to this picture. What specific conditions enable such an extreme system to exist at cosmic dawn?

Identifying Analogs in Cosmological Simulations

We search for Giant Bulgeless Disk (GBD) analogs in the TNG100 cosmological simulation at \(z \leq 3\), selecting galaxies with disc fractions \(f_\mathrm{disc} \geq 0.8\), bulge fractions \(f_\mathrm{bulge} \leq 0.05\), and half-stellar-mass radii exceeding the 84th percentile in their mass range (\(M_\star > 10^{10.5}\,M_\odot\)). Morphological decomposition is performed with our public code MorphDecom (Liang et al. 2025), which determines energy and circularity thresholds automatically without arbitrary user choices. We then generate mock JWST NIRCam images using the SKIRT radiative transfer code, from which we measure half-light radii, non-parametric morphologies, and Sérsic profiles — closely replicating the observational strategy used for the Big Wheel. Only five GBDs satisfy the criteria at \(z = 3\), accounting for \(\sim 1-2\%\) of all disc-dominated galaxies of similar mass, confirming they are genuine rare outliers.

Size-mass relation and mock JWST images of simulated GBDs
Figure 1. Size–stellar mass relations at \(z \approx 3\) and mock JWST images. The five simulated GBD candidates (blue) are shown alongside the observed Big Wheel (orange). Blue stars are intrinsic half-stellar-mass radii; blue squares are apparent half-light radii from mock F322W2 images (right), with stellar masses from mock SED fitting. The black line shows the median size-mass relation of TNG100. The largest GBD (ID 33682) lies in the same ballpark as the Big Wheel.

Environmental Conditions

Being as massive as \(M_\star \sim 10^{11}\,M_\odot\) at \(z = 3\), these galaxies inevitably reside in the densest peaks of the cosmic web. Using tidal-tensor classification, we find that four of the five GBDs sit in cosmic knots, with the fifth in a filament adjacent to a forming one.

Large-scale environment and mock images of GBDs
Figure 2. Large-scale environment and synthetic images of the five simulated GBDs at \(z = 3\). Top and bottom rows show edge-on and face-on views at finer spatial sampling than JWST, revealing detailed structure including the compact inner mini-discs. The lower-left insets show the angular-momentum alignment between the disc, the CGM, and the surrounding cosmic-web gas. Middle row: projected total mass distribution of the cosmic web in a 3 Mpc cube around each GBD. Four GBDs reside in cosmic knots; one is in a filament near a forming knot. While the CGM is well aligned with the disc in most cases, the large-scale cosmic-web gas supply beyond the halo is not necessarily kinematically coherent — reflecting the characteristic hot-mode accretion of these massive halos, which shields the inner halo from disruptive misaligned inflows.

Halo Conditions

The GBDs inhabit a uniquely favourable intersection of halo structure, large-scale environment, and assembly history — each individually uncommon, and jointly even rarer.

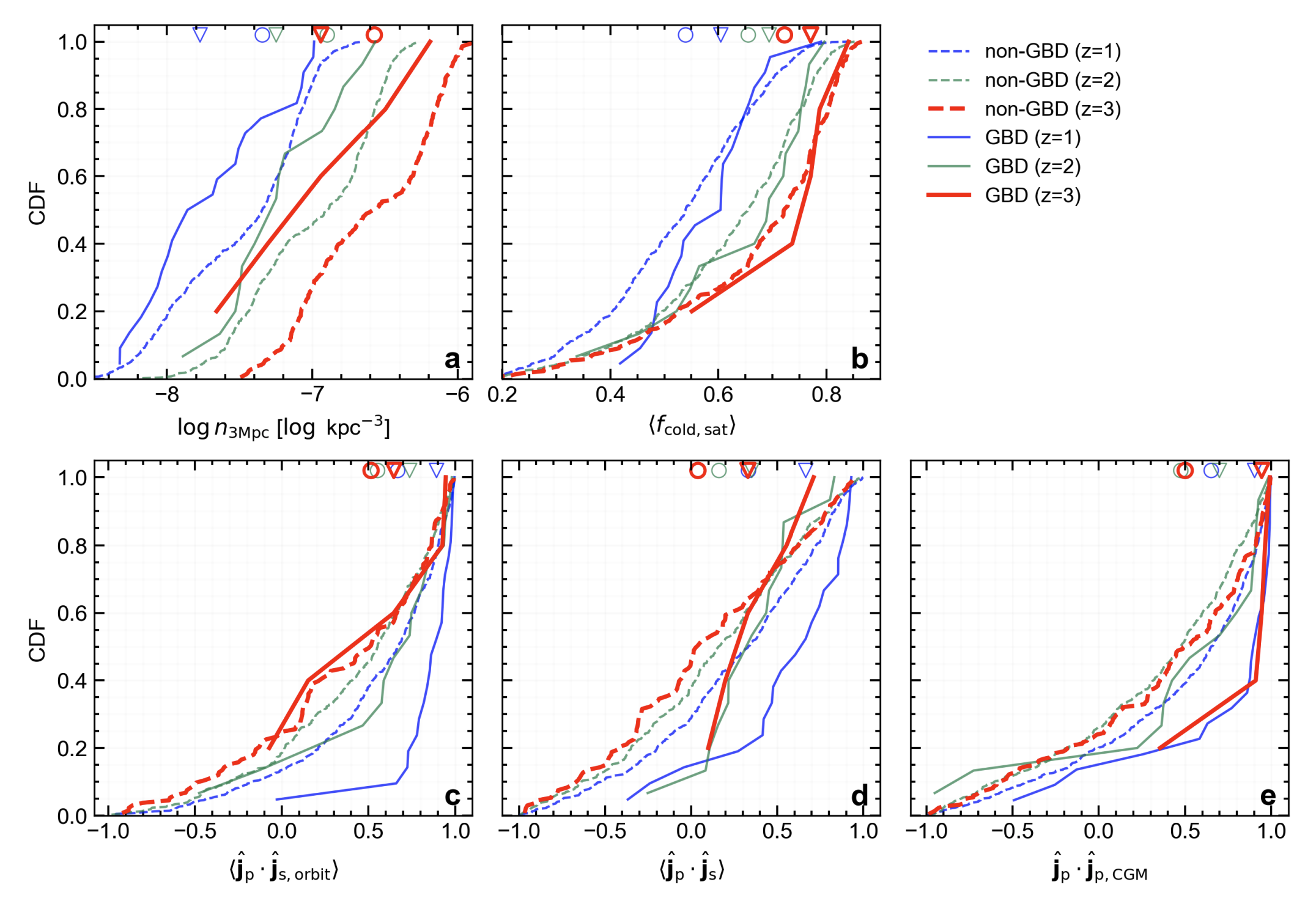
Being as massive as \(M_\star \sim 10^{11}\,M_\odot\) at \(z = 3\), these galaxies inevitably reside in the densest peaks of the cosmic web. Using tidal-tensor classification, we find that four of the five GBDs sit in cosmic knots, with the fifth in a filament adjacent to a forming one. Crucially, these knots are young and not yet fully virialized — they are proto-clusters that provide a steady gas supply along filaments, while destructive merger activity has not yet matured. Compared to normal disc galaxies of similar mass (non-GBDs), the GBDs have notably lower local neighbour densities within 3 Mpc, reflecting this proto-cluster rather than virialized-cluster setting.

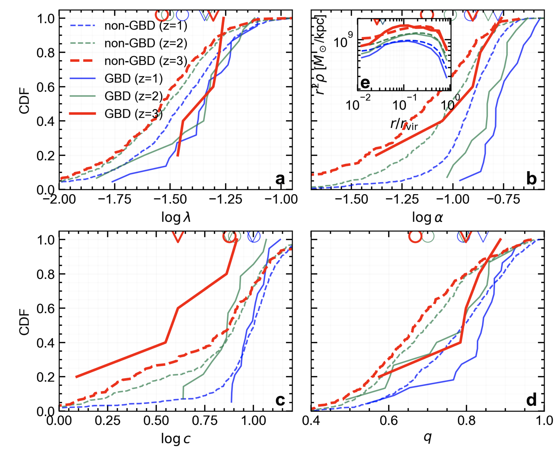
Their dark-matter halos also stand apart. GBD hosts exhibit higher spin (\(\sim 0.2\) dex above non-GBDs), lower halo concentration and shallower central dark-matter densities (with Einasto shape index \(\alpha\) about 0.2 dex higher), and more spherical shapes (axis ratio \(q \gtrsim 0.8\)). Together these indicate a shallower central gravitational potential and a more quiescent assembly history — the increased sphericity is inconsistent with recent major accretion events, which typically distort halo shapes.

DM halo properties of GBDs vs non-GBDs
Figure 4. Cumulative distributions of the DM halo structural properties of GBDs (solid) and non-GBDs (dashed) at \(z = 1, 2, 3\). From left to right: spin \(\lambda\); Einasto shape index \(\alpha\) and concentration \(c\) (with inset showing mean density profiles); and 3D axis ratio \(q\). GBD halos have higher spin, lower concentration, shallower inner density profiles, and more spherical shapes.

The assembly histories of GBDs reinforce this picture. Their progenitors accreted satellite galaxies notably richer in cold gas, with orbital angular momenta significantly better aligned with the primary spin vector (\(\hat{j}_p \cdot \hat{j}_{s,\mathrm{orbit}} \approx 0.75\) versus \(\approx 0.55\) for non-GBDs at \(z = 2\)). This means infalling material is deposited in the correct rotational sense, building the disc rather than disrupting it. The circumgalactic medium (CGM) tells the same story: GBD hosts maintain a remarkably coherent CGM, with a median disc-CGM alignment cosine of \(\sim 0.9\) compared to \(\sim 0.5\) for non-GBDs. Hot-mode accretion in these massive halos suppresses the penetration of misaligned cold filaments, so that gas cooling from the aligned CGM contributes coherently to disc growth. By examining where each factor falls in the joint space of disc size and disc fraction, we find that coherent CGM and kinematically aligned mergers produce the clearest combined trends, making them the most important drivers of GBD formation.

Cumulative distributions of environmental and merger properties
Figure 3. Cumulative distributions of environmental and assembly-history properties for GBDs (solid) and non-GBDs (dashed) at \(z = 1, 2, 3\) (blue, green, red). From top to bottom: local halo number density within 3 Mpc; average cold gas fraction of merging satellites; average cosine between the galaxy and orbital angular momentum of merging satellites; average cosine between galaxy and satellite internal spins; and instantaneous cosine between the galaxy and CGM angular momenta. GBDs consistently reside in proto-clusters, experience more gas-rich and kinematically coherent mergers, and maintain a remarkably coherent CGM.

Mini Diskcs

Every GBD at \(z = 3\) harbours a compact, rotationally supported inner disc (\(v_\mathrm{rot}/\sigma \sim 2-3\)) embedded within the large outer disc. In high-resolution mock images this inner structure is distinct and disc-like, but when convolved with the JWST PSF it mimics a small bulge. Two-component Sérsic fitting of the mock images consistently yields inner Sérsic indices of \(n \sim 0.6-1\) with sub-kiloparsec effective radii — remarkably consistent with the observed Big Wheel, which shows an inner \(n \sim 0.7\). This universality suggests that compact inner discs may be a common but largely hidden feature of high-redshift giant disc galaxies.

Fate of GBDs

The GBD phase cannot last long. Tracing the evolutionary tracks of all five systems, the galaxies remain disc-dominated until a subsequent destructive major merger occurs. Over \(\sim 1-2\) Gyr, disc instabilities develop, sizes converge toward the median relation, and star formation rates drop \(\sim 1\) dex below the main sequence. A final gas-rich major merger then simultaneously rejuvenates star formation and converts the morphology to an ellipsoidal shape. By \(z = 0\), the GBD descendants are massive early-type galaxies — often the brightest central galaxies of their clusters — confirming that early giant bulgeless discs are a fundamentally distinct population from nearby pure-disc galaxies of similar mass, and not their progenitors.

Evolution of simulated GBDs
Figure 5. Evolution of the five simulated GBDs identified at \(z = 3\). Panels show disc fraction \(f_\mathrm{Disc}\), excess half-stellar-mass size relative to the median size-mass relation, SFR excess relative to the star-forming main sequence, and disc-CGM angular-momentum alignment. The GBDs remain disc-dominated until the next destructive major merger. Their sizes normalise within 1–2 Gyr as disc instabilities develop. A subsequent gas-rich major merger rejuvenates star formation and converts the system to an ellipsoid. The CGM is coherent throughout the GBD phase and becomes misaligned as the disc shrinks.